Skip to content
LearnMathematics101
About
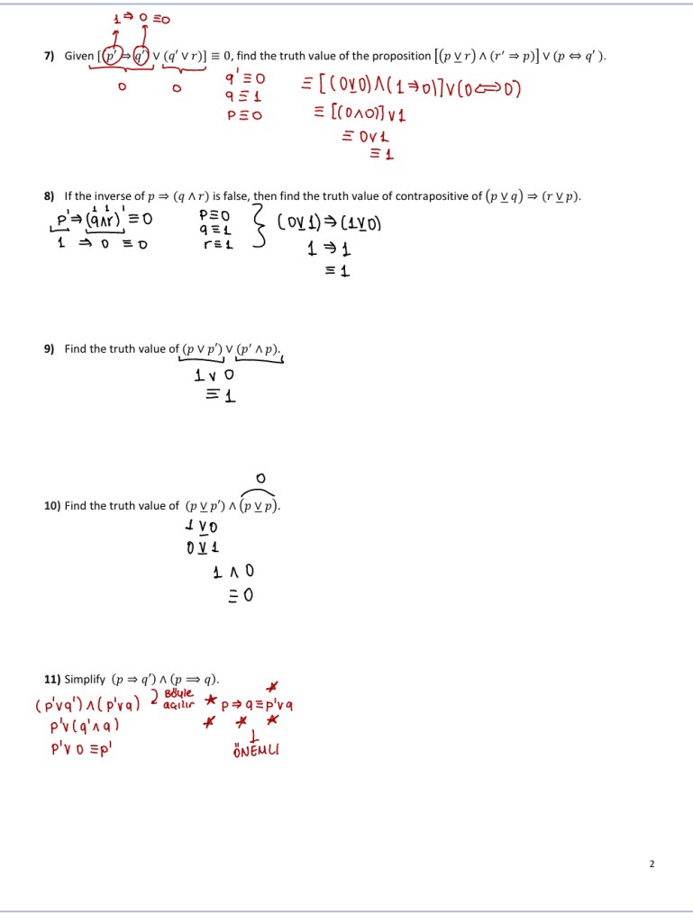
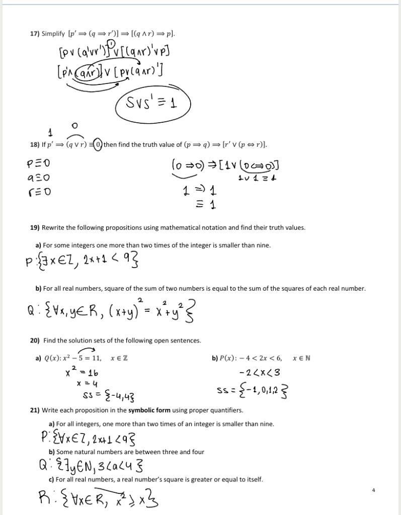
LOGIC QUESTIONS
Share this:
Share on X (Opens in new window)
X
Share on Facebook (Opens in new window)
Facebook
Like
Loading…
Posted
April 24, 2024
in
Uncategorized
by
Mina Defne YÜCESOY
Tags:
Comments
Leave a comment
Cancel reply
Δ
Loading Comments...
Write a Comment...
Email (Required)
Name (Required)
Website
Comment
Reblog
Subscribe
Subscribed
LearnMathematics101
Sign me up
Already have a WordPress.com account?
Log in now.
LearnMathematics101
Subscribe
Subscribed
Sign up
Log in
Copy shortlink
Report this content
View post in Reader
Manage subscriptions
Collapse this bar
%d
Leave a comment